2020年,面对新冠疫情全球大流行、国际政经格局深刻变化,中国政府持续统筹疫情防控和经济社会发展,中国经济在全球率先实现恢复性增长,成为了今年全球唯一实现经济正增长的主要经济体。前三季度GDP增长由负转正,增速为0.7%,较上半年上升2.3个百分点,其中一季度下降6.8%,二季度增长3.2%、三季度增长4.9%。
2020年新冠肺炎疫情对中国供给、需求造成巨大冲击。前3个月第一产业、第二产业、第三产业增加值分别下降3.2%、9.6%、5.2%,投资、消费分别下降16.1%、19%,均创下历史新低。随着疫情有力有效防控及一些系列复工复产政策实施,工业生产能力率先加快恢复,3月全国(除湖北外)复工率均已超过90%,4月规模以上工业增加值开始转负为正,上升到3.9%,7月后增速开始高于上年同期水平。服务业、消费、投资等指标也逐步好转,服务业生产指 5月开始转负为正,消费月度增速自8月开始转负为正,固定资产投资累计增速自9月开始转负为正。
2020 年,服务业受疫情冲击最大,前三季度服务业对GDP累计同比贡献率降至30.5%,较上年同期降低30.5个百分点,第一、二产业对GDP累计同比贡献率相对上升,前三季度分别为20.3%、49.2%,分别较上年同期上升17.2%、13.3%。第一产业与第二产业在第三季度的同比增速已经基本恢复到疫情前的水平,尤其是在疫情期间受损严重的第二产业在疫情后的快速增长,带动了整个宏观经济的复苏。然而第三产业在第三季度的增速仍未恢复到疫情前水平,说明第三产业在2021年仍有较大的上升空间。
图1 GDP及三大产业同比增速

数据来源:Wind、展恒基金研究中心
数据截至日期:2020年12月30日
2020年前11个月,固定资产投资(不含农户)累计增长2.6%,呈现V字型走势。具体分析三大类投资类别,可以看出基础建设投资和房地产投资恢复快,是带动投资回升的主要力量。
基建投资是疫情冲击下逆周期调控政策的重要抓手。2020年专项债额度较上年增加1.6万亿至3.75万亿,增幅为74%,创历年之最。同时,各地加快专项债发行使用进度,PPP项目落地率持续提升至 9月份的69.9%。1-11月基建投资(含电力)累计增长3.32%,增速已达到上年同期的95.68%,在三大投资中恢复程度最高。
销售回暖带动资金到位和行业景气度持续恢复,房地产开发投资逐月回升。1-11月房地产开发投资累计增长6.8%,增速较上年同期下降3. 4个百分点。在需求回升、盈利改善带动下,制造业投资降幅逐步收窄,但仍处于负区间。1-11月,制造业投资累计下降3.5%,低于上年同期6个百分点。
图2 固定资产投资增速

数据来源:Wind、展恒基金研究中心
数据截至日期:2020年12月30日
2020 年初,消费遭受疫情巨大冲击,但随着复工复产、复商复市政策的持续推进,以及“六稳”、“六保”政策的落地,自3月份以来消费增速持续回升,并于8月实现转正,社会消费品零售总额11月同比增长5%。但从全年情况来看,1-11月,社会消费品零售总额累计下降4.8%,较上年同期下降12.8个百分点。
图3 社会消费品零售总额:当月同比

数据来源:Wind、展恒基金研究中心
数据截至日期:2020年12月30日
升级类商品销售保持增长。1-11月份,文化办公用品类、化妆品类、通讯器材类商品零售额分别增长5.4%、9.5%和12.0%。化妆品类商品在疫情后增长迅速拉动商品零售额回升,通讯器材类的累计零售总额甚至超出年初水平。餐饮、住宿等服务消费在受疫情严重冲击后,自10月份以来明显复苏。1-11月份,餐饮收入累计下降18.6%,10月当月其增速实现年内首次转正,同比增长0.8%。在经济持续恢复、居民消费信心增强以及促消费政策的带动下,汽车需求持续释放,汽车市场持续升温,已连续4个月保持两位数增长。

数据来源:Wind、展恒基金研究中心
数据截至日期:2020年12月30日
2020年以来,CPI走势“前高后低”,涨幅逐步放缓,月度涨幅从年初的5%以上降至10月份的-0.5%,前11个月CPI累计涨幅上涨2.7%,涨幅较上年同期慢0.1个百分点,也是今年以来累计涨幅首次低于上年水平。
食品类价格,尤其是猪肉价格是影响 CPI 走势的关键因素。在非洲猪瘟、环保政策、猪周期等影响下,一季度猪肉价格平均涨幅为122.5%,此后在生猪产能持续恢复、上年同期高基数等影响下,猪肉价格涨幅逐步回落。食品价格涨幅也随之高位回落,从2月份21.9%的高点降至11月份的-2.00%,也是自2018年以来首次回落。前11个月,食品价格累计上涨11.50%,涨幅较上年同期扩大3个百分点。食品价格的较高涨幅带动CPI上涨约2.7个百分点,成为影响CPI走势的主要因素。非食品价格总体偏弱,显示需求依然较弱。前11个月非食品上涨0.4个百分点,较上年同期下降1个百分点。核心CPI上涨0.9个百分点,涨幅较上年同期下降0.8个百分点。
图6 当月同比CPI涨幅

数据来源:Wind、展恒基金研究中心
数据截至日期:2020年12月30日
2020年,新冠疫情冲击国内外需求和供给,PPI月度涨幅从年初0.1%放缓至5月份-3.7%,此后随着复工复产加快推进、需求温和复苏,PPI降幅有所收窄。前11个月PPI累计下降2%,降幅较上年同期扩大1. 7个百分点。生产资料价格波动明显大于生活资料,月度涨幅从年初的-0.4%降至5月的-5.1%,此后随着需求逐步回暖,降幅开始收窄,11月份为-1.8%。由于需求恢复总体滞后,生活资料价格涨幅持续放缓,9月份涨幅为-0.1%实现了由正转负。
图6 当月同比PPI涨幅

数据来源:Wind、展恒基金研究中心
数据截至日期:2020年12月30日
2020年1-11月,出口(以美元计)累计同比增长2.5%;进口(以美元计)累计同比下降1. 6个百分点。疫情背景下出口超预期增长是2020年外贸的突出特征。国外抗疫需求带动防疫物资需求激增,前11个月医疗仪器及器械出口额累计同比增长42.50%。
此外中国经济率先修复,部分替代其他国家的出口份额。从中国出口占其他国家进口额的比重来看,2019年12月至2020年11月,纵然有贸易战因素,美国进口额中国进口金额比重从13.09%上升到18.29%。同时,疫情严重的新兴市场国家出口大幅下滑也印证了中国的出口替代效应,1-11月,印度出口金额累计同比增速-13%。

数据来源:Wind、展恒基金研究中心
数据截至日期:2020年12月30日
宏观政策方面,2020年两会期间反复强调两个“六”,一是针对去年中美贸易战而提出的“六稳”,稳就业、稳金融、稳外贸、稳外资、稳投资、稳预期。二是新冠疫情后,中央提出来的“六保”,保就业,保基本民生,保市场主体,保粮食能源安全,保产业供应链稳定,保基层运转。
同时2020年更是我们“十三五规划”的收官之年。“十三五”时期是全面建成小康社会的决胜阶段,中国经济社会各方面稳步发展,为“十四五”时期开启全面建设社会主义现代化国家新征程奠定了坚实基础。
2020年伊始,新冠疫情对中国经济造成了巨大的打击,一方面,居家自我隔离、停工停产等抗疫政策使得内需受到了压制,另一方面,国外疫情的快速传播导致经济萧条促使外需恶化。为了稳定我国经济社会的发展,两会期间第一次没有提GDP目标, “六稳”与“六保”成为了重要的政策指导思想。
针对疫情后的复苏,中央在财政政策方面减少政府开支的同时扩大政府支出。一是减税,减轻企业的负担,给企业松绑,是帮助企业,尤其是中小企业。二是多渠道筹资,赤字率从去年2.8%到今年3.6%,增加了1万亿,也是历史性的突破3%的警戒线。其次发行了3.75万亿左右的地方债以缓解地方政府的债务压力。最后就是投资“新基建”,也就是 “两新一重”,即新型基础设施建设,新型城镇化建设,交通、水利等重大工程建设。
为缓解疫情冲击,防范企业资金链断裂,监管部门不断出台措施鼓励金融机构加大信贷投放,尤其是提高对中小企业的信贷支持。银行业资产负债快速扩张,金融对普惠、小微领域的支持加大,让利明显增多。截至2020年9月末,银行业金融机构资产同比增长10.8%,相比上年提高3.1个百分点;2020年前三季度,普惠型小微企业贷款同比增长30.54%;2020年前10个月,金融系统让利约1. 25万亿元。综合融资成本明显下降,2020年6月末,金融机构一般贷款加权平均利率已降至2008年以来的历史低点(5.26%)。
主要金融机构普惠型小微贷款余额增速由2019年年底的23.1%持续上升至2020年三季度的29.6%,小微企业融资可得性不断增强。从行业投向看,金融机构对主要行业资金支持力度不断加大,工业、服务业、涉农贷款信贷增速呈现快速上升态势。主要金融机构工业中长期贷款余额增速由2019年底 6.8%上升至2020年三季度的16.3%。服务业中长期贷款余额增速由2019年底的13%上升至2020年三季度末的 15%,涉农贷款余额同比增速由2019年底的7.7%上升至2020年三季度末的11.1%。
图9 当月同比PPI涨幅

数据来源:Wind、展恒基金研究中心
数据截至日期:2020年12月30日
推进对民营企业、中小微企业减税降费,降低企业生产经营成本。根据 2020 年 10 月发布的《关于支持民营企业加快改革发展与转型升级的实施意见》,将简化优惠政策适用程序,实施好阶段性减免社会保险费和降低社保费率政策,对受疫情影响严重的中小企业依法核准延期缴税,对小微企业工会经费全额返还。同时通过政府产业引导基金引导民企扩大转型升级投资。
深化自贸试验区改革,为投资、贸易提供更便利的营商环境,促进激发国内市场活力、扩大内需,吸引外部有效投资。浦东自贸试验区试点市场准入“一业一证”综合许可制度,即将企业需要办理的多张许可证整合为一张行业综合许可证,过去由国务院部门实施的25项许可等事项改为委托浦东新区受理和发证,实现市场主体“一证准营”、全国范围有效。6月1日,中共中央、国务院印发《海南自由贸易港建设总体方案》。提出在实现有效监管的前提下,建设全岛封关运作的海关监管特殊区域。对货物贸易,实行以“零关税”为基本特征的自由化便利化制度安排。对服务贸易,实行以“既准入又准营”为基本特征的自由化便利化政策举措。实施市场准入承诺即入制。严格落实“非禁即入”,在“管得住”的前提下,对具有强制性标准的领域,原则上取消许可和审批,建立健全备案制度,市场主体承诺符合相关要求并提交相关材料进行备案,即可开展投资经营活动。
面对日益复杂的外部形势,中国坚定支持经济全球化、扩大对外开放。2020 年全国外商投资准入负面清单由 40 条减至 33 条,自贸试验区外商投资准入负面清单由 37 条减至 30 条,进一步扩大了外商投资准入范围,提高服务业、制造业、农业领域的开放水平。此外,持续深化和创新国际经贸合作,创新外贸形式,加快服务贸易发展。坚持维护以世界贸易组织为核心的国际多边贸易体制,积极拓展双边、多边贸易合作,加快落实 RCEP 协议,继续推动中日韩自贸区等自贸协定谈判。创新外贸形式,推动跨境电商发展和市场采购贸易方式试点。扩大服务贸易对外开放试点,逐步取消或放宽跨境服务贸易限制措施,健全跨境服务贸易清单管理制度,增加优质服务进口。
建立更高水平的开放新格局,2020年中国持续推进金融改革开放,以高标准市场体系对接国际市场。在历经数次修正、两次大修之后,新《证券法》于2020年3月1日正式实施,注册制正在由科创版向更多领域推广。
人民银行就《商业银行法(修改建议稿)》公开征求意见,出台系统性重要银行监管办法草案等,这些制度从顶层设计层面解决金融业当前发展存在的重大问题,体现与时俱进的特点,有利于引导行业长期健康发展。《商业银行法(修改建议稿)》提出更为严格的准入标准,并就公司治理、资本与风险管理、客户权益保护、风险处置与退出等提出新要求,取消存贷比指标,这都将为银行体系的稳健运行打下坚实基础;
针对2020年以来部分城市房价过快非理性上涨等问题,监管部门加大对房地产信贷流向监控,并要求房地产企业融资不得超过三条红线:红线一:剔除预收款的资产负债率不得大于70%;红线二:净负债率不得大于100%;红线三:现金短债比不得小于1倍。根据“三道红线”的触线情况,将房企分为“红、橙、黄、绿”四挡:红色档:如果三条红线都触碰到了,则不得新增有息负债;橙色档:如果碰到两条线,负债年增速不得超过5%;黄色档:碰到一条线,负债年增速不得超过10%;绿色档:三条线都未碰到,负债年增速不得超过15%。这是监管部门第一次明确了房企举债的标准,不仅控制信用债,还要对信托、资管产品和海外融资,进行全方位的监管。
与此同时,对互联网领域的监管进一步强化,出台《关于平台经济领域的反垄断指南》等监管办法,首次明确拟将“二选一”定义为滥用市场支配地位、构成限定交易行为,将“大数据杀熟”定义为滥用市场支配地位、实施差别待遇。这有利于降低龙头互联网科技企业在数据和市场等方面的垄断,促进行业长期稳健发展。
金融调控更加注重前瞻性、精准性和直达性。为应对疫情冲击,在2019年“稳金融”调控的主基调下,2020年进一步加大了逆周期调控力度,且更加注重前瞻性、精准性和直达性。三次下调存款准备金利率,不断调降 MLF 和LPR 利率,出台支持中小企业发展的定向支持工具等(包括而不限于发放专项再贷款、出台小微企业信用贷款和延期贷款购买计划等)。这些政策取得明显效果,货币社融增速大幅提升,改变了过去3年M2在 8%左右低位徘徊的局面,社融规模存量也跃升至近三年的新高。
2020年货币社融主要呈现如下特征:一是M2增速先升后降,社融增速保持高位运行。疫情以来,在信贷投放加快和财政支出加大共同作用下,M2增速由2019年末的8.7%上升至 2020年6月末的11.1%。进入下半年后,财政支出速度有所放缓,M2同比增速同步降至11月末的10.7%。另外,M1增速由2019年末的4.4%持续上升至11月末的10%,同样创下近年新高。
图10 M1与M2增速变化

数据来源:Wind、展恒基金研究中心
数据截至日期:2020年12月30日
从社会融资规模看,社融存量稳步增长,由2019年末的10.69%上升至2020年11月末的13.6%,为近3年新高。主要分项指标增速明显加快,人民币贷款同比增速由2019年末的12.53%增长至2020年11月末的13.3%;政府债券同比增速由2019年末的14.3%、增长至2020年11月末的21.4%;股票同比增速由2019年末的4.96%增长至2020年11月末的11.3%;企业债券同比增速由2019年末的13.35%增长至2020年11月末的19.3%。人民币贷款、政府债券、股票、企业债券的同比增速分别加快0.87、7.1、6.34和5.95个百分点。其中,政府债券、股票、企业债券三项指标的增速较快,证券市场对实体经济支持力度不断增强。
图11 社会融资规模存量同比增速

数据来源:Wind、展恒基金研究中心
数据截至日期:2020年12月30日
政策利率呈现“斜L”走势。疫情暴发之初,为应对疫情冲击,人民银行迅速采取行动,轮番下调了7天期、14天期、一年期MLF等政策利率,政策利率曲线稳步下移,货币政策宽松态势明显。但二季度经济反弹外加防风险重要性提升,政策利率未作调整,货币政策重回稳健。货币市场利率“先降后升”,市场预期逐步稳定。在年初宽松政策影响下,DR007、R007等货币市场利率走势出现快速下行,但在4月份逐步回升,自6月份起大体维持在政策利率上下,市场预期逐步稳定。
图12 政策利率与市场利率走势

数据来源:Wind、展恒基金研究中心
数据截至日期:2020年12月30日
信贷利率下降速度“由快转稳”,企业融资成本得到切实改善。在多部门联合支持下,信贷市场利率快速下行,但自二季度起逐步走稳。金融机构人民币贷款加权平均利率由2019年年末的5.44%快速降至2020年一季度末的5.08%,二季度末开始企稳,小幅下降2个BPs至5.06%,三季度末小幅上涨6个BPs至5.12%,。分类看,一般贷款和票据融资分别由2019年末的5.74%和3.26%降至2020年一季度末的5.48%和2.94%,二季度末分别降至5.26%和2.85%,下降22和9个BPs,三季度末开始回升至5.31%和3.23%。
图12 政策利率与市场利率走势

数据来源:Wind、展恒基金研究中心
数据截至日期:2020年12月30日
2020年,受新冠疫情暴发影响,全球经济遭遇自上世纪“大萧条”以来的最大冲击。随着疫情向全球扩散和蔓延,恐慌情绪显著升温,全球股市、债市、汇市和大宗商品市场大幅波动,下跌幅度已超过2008年金融危机时期,美国股市甚至发生两周四次熔断的“黑天鹅”。此后恐慌情绪开始缓和,美国等国家股市又出现了大幅上涨,原油等大宗商品价格开始低位企稳。总的来看,高杠杆、高泡沫、高波动、低利率已成为国际金融市场运行的常态。
2020年上半年,新冠疫情相继在东亚、欧美、拉美、非洲等地区蔓延,各经济体采取的防控措施阻断了人员、资本、货物、技术、服务等自由流动,社会恐慌情绪严重,经济运行面临供需萎缩与金融动荡的双重冲击。其中,二季度国际商品贸易和服务贸易分别下降 21%和 30%,上半年全球跨境直接投资(FDI)同比下降49%。受此影响,全球经济大幅下行,一、二季度GDP增速分别为-10.9%、-18.9%。
2020年下半年,伴随着部分经济体疫情形势好转、推动复工复产,加上史无前例的纾困政策发挥作用,全球经济开始触底回升。供给方面,摩根大通全球综合PMI指数自7月以来已连续五个月位于荣枯线上方,制造业、服务业景气度均有所改善。需求方面,OECD消费者信心指数反弹,主要国家零售销售额同比增速上升;部分国家国内商旅等出行需求增加,11月亚洲、北美航班恢复率分别回升至62.5%和50.9%,中国航班恢复率达到93.51%;制造业出口订单开始增加,世界贸易量连续四个月环比上升,全球贸易同比萎缩程度大幅收窄。然而,随着四季度疫情反弹,近期部分经济体消费、出口已显示出放缓迹象。
图13 11月份各大洲航班同比回复率

数据截至日期:2020年12月30日
在疫情发生前,全球就开始呈现经济疲软、重心东移、去全球化和民粹主义抬头、国际治理机制失灵、大国博弈加剧等现象,疫情发生后,上述趋势更加明显。疫情加速了全球政经格局重塑。亚洲大部分国家的疫情防控效果优于西方发达经济体,以中国为代表的亚洲经济复苏时间将早于西方经济体,有望继续引领世界经济增长。由中日韩澳新和东盟十国签署的《区域全面经济伙伴关系协定》(RCEP)将进一步深化亚太各国经贸合作,有助于提升该地区在国际规则和全球治理体系的话语权。
与此同时,部分发达经济体在疫情期间要求关键战略物资供应链回流本土,或成为永久性变化。美国政府紧急启动《国防生产法案》,加强对医疗防疫物资的战略储备,要求相关企业回到美国。英国政府出台“保卫工程”计划,对自身经济薄弱环节进行梳理,结束英国在医疗用品和战略物资对主要进口国的依赖。即便在疫情结束后,发达经济体也会高度重视对自身战略物资的控制,收紧外资收购政策。
图13 世界主要经济体GDP占世界比重

数据来源:中国银行、展恒基金研究中心
数据截至日期:2020年12月30日
作为二战之后国际格局的主要领导者和塑造者,美国大选之后的内政外交政策和全球化参与方式将显著影响国际格局演变,对国际格局未来走向产生重大影响。考虑到拜登外交政策主张与特朗普存在较大差异,拜登当选后,美国对外政策将逐渐调整,2021年国际格局或将呈现一些新变化。
一是以多边主义为标志的国际治理体系暂时得以维系,但内部脆弱性愈加突出。拜登上台后,美国将重新回归传统外交政策,回归多边主义和全球主义,重新加入特朗普时期退出的各类国际组织,将重申美国对全球民主联盟、多边合作以及基于规则的国际秩序的承诺,着手修复与主要盟友之间的关系,但这不会改变当前国际多边治理体系所面临的问题。一方面,美国综合实力弱化,主导国际秩序的能力下降。2021年,拜登上台后首先要直面国内挑战和疫情危机,在国内民众对积极的外交政策缺乏支持时,其更多地将在口头上重申参与国际事务,行动上不会过于积极。另一方面,与美国类似,其欧洲和亚太盟友同样遭受疫情严峻冲击,经济面临挑战,在缺乏现实安全威胁的背景下,各国更倾向于通过均势策略来维持平衡,而不愿只与美国维持排他性的双边关系。因此,即使拜登上台,美国可能也难以真正实现“美国领导”。
二是美国在2021年初可能会陷入“二次衰退”,全球经济重心将继续东移。此次疫情对各国经济增长和潜在路径都造成较大冲击,由于各国疫情防控水平存在差距,经济恢复速度也将存在较大差异。对于美国来说,拜登主张更加积极地应对疫情,谨慎开放经济。因此,明年1月后,美国各州疫情防控措施或将逐渐升级,2021年一季度美国经济或将再次陷入衰退。二季度后,随着疫情逐渐得到控制,美国经济复苏将加快,不过考虑到疫情已持续一年时间,美国企业破产增加,很多就业岗位已经彻底消失,即使疫情得到控制,经济也不会很快回归到常态化水平。从这个角度看,拜登上台也不会改变全球经济“东升西降”的格局。
三是全球化逐渐从“保护主义”向“区域主义”演进。虽然拜登支持自由贸易和多边贸易体系,在上台后会改变特朗普贸易保护主义立场,但是在疫情和大国博弈下,公共安全、国家安全以及科技竞争在全球将愈演愈烈,全球化很难简单回到过去。2018年以来,随着《跨太平洋伙伴关系全面进展协定》(CPTPP)、日欧自贸协定、美墨加自贸协议、美日自贸协定、日英自贸协定、RCEP协定等陆续签署,全球化加快向区域化转变,拜登上台后这一趋势将进一步强化,美国与欧洲、日本等盟友之间的关系将得到改善,对盟友征收的关税和施加的非关税壁垒有望废除,将加快推进与欧盟、英国等发达经济体开展的自由贸易协定谈判,可能将重返 CPTPP 谈判,将加快推动产业链回流或近岸化生产。
受国内经济复苏、资本市场改革推进、疫情全球蔓延及贸易摩擦、美国大选等“利多”和“利空”因素相互博弈的影响,2020年A股维持整体震荡上行态势。截至12月29日,上证综指收盘报3,379.04点,相较2019年底上涨10.78%。
受新冠疫情影响,A股从1月下旬开始大幅下跌,到2月初到达第一个底部(2746 点)。随后疫情开始在海外蔓延,油价暴跌,全球主要股市出现“连环熔断”,拖累A股形成第二个底部(2660点);自7月起,随着中国疫情得到有效控制,A股持续走强,整体在3300点的高位运行。总的来看,2020年A股涨幅高于全球主要国家。截至2020年12月30日,创业板、中小板、深证成指的涨幅分别达56.44%、39.63%和33.93%,在全球主要股票市场指数中排前三。
图14 2020年上证指数与深证成指走势

数据来源:Wind、展恒基金研究中心
数据截至日期:2020年12月30日
疫情促进新产业、新业态、新商业模式加快发展。新冠疫情暴发对中国经济带来较大冲击的同时,也加速产业转型,催生了新需求、新业态、新模式。制造业加速智能化、数字化转型。移动办公、网上教学、远程医疗等新需求蓬勃发展。传统餐饮、零售、家政、旅游等行业推动线上与线下相结合重塑经营业态。预约旅游、智慧旅游等新业态出现,以“云旅游”为代表的数字文旅产业兴起,博物馆、景区等推出网上展览、线上游览。物流服务模式加快转变,标准化生鲜配送、半成品配送模式迅速形成。
受抗疫物资需求上升、宅经济崛起和消费结构变化等影响,科技、消费、医药板块持续领涨,而金融、房地产、传统能源等行业持续处于低位。2020年初至12月29日,电气设备、休闲服务、食品饮料、国防军工、医药生物行业指数涨幅居于前五,分别达84.63%、84.23%、76.79%、47.85%和47.63%。房地产、通信、建筑装饰、纺织服装、银行行业指数降幅分别达-11.56%、-8.57%、-8.53%、-7.86和-4.54%。
图15 申万一级行业指数周度表现

数据来源:Wind、展恒基金研究中心
数据截至日期:2020年12月30日
随着中国经济持续复苏,A股成为国际资本的避风港。2020年以来,北上资金合计买卖总额达20.88万亿元,较2019年增长113.93%,沪股通合计买卖总额达8.95万亿元,较2019年增长79.29%,深股通合计买卖总额达11.93万亿元,较2019年增长150.42%。自3月初以来,北上资金成交净买入走势与上证综指走势保持高度一致,对股市运行产生重要影响。
图16 上证指数与北向资金净买入情况

数据来源:Wind、展恒基金研究中心
数据截至日期:2020年12月30日
受经济下行、货币政策宽松节奏不一、违约风险高发等影响,2020年10年期国债收益率先降后升,全年呈现“V”型走势且波动幅度较大。其中,1-4月,为应对疫情货币政策宽松力度明显加大,这也带动10年期国债收益率迅速下行,但随着5月货币政策逐步回归常态,货币供给稳中趋紧,利率单边上扬,10年期国债收益率迅速抹平前4个月跌幅。截至2020年12月30日,10年期国债收益率收报于3.29%,相比上年末上升了12个BPs。尤其值得注意的是,11月12日,以河南永煤违约事件为导火索,市场发生了多起高评级主体的违约事件,这引发一系列连琐效应,大量债券被恐慌性抛售,资金面持续紧张,市场情绪高度紧张。
图17 2020年10年期国债收益率走势

数据来源:Wind、展恒基金研究中心
数据截至日期:2020年12月30日
债券供给增加,债市对实体经济的支持作用增强。2020年前11个月累计发行各类债券 51.3万亿元,相比上年同期增长21.2%。债券发行规模的增加也带动债券融资占社会融资规模的比重由2019年末的31%提高至2020年10月末的37%。债市波幅明显扩大。2020 年10年期国债收益率运行在2.48%-3.35%宽幅区间,标准差为0.22,相比2019年的波幅区间3.0%-3.43%和标准差0.09都明显扩大。
期限利差先升后降,信用利差两极分化。2020年12月29日,“10年-1年”期国债收益利差均值由上年同期的79个BPs下降至59个BPs,高等级债券的信用利差(1年期AAA级企业债与同期限国债)由上年同期的77个BPs下降至53个BPs,但低等级债券的信用利差(1年期A-级企业债与同期限国债)则由上年同期的904个BPs上升至975个BPs,反映出信用风险有进一步上升压力。

数据来源:Wind、展恒基金研究中心
数据截至日期:2020年12月30日
中美利差持续走扩。在全球降息潮开启背景下,中国国债收益率相对较高,中美10年期国债利差由2018年11月最低点的11个BP重新扩大至2020年12月29日的229个BPs,最高时甚至突破324个BPs,这使得中国债券市场对境外资金的吸引力上升。
债市出现“违约风暴”。与往年不同,2020年违约主体中地方国企、高等级债券主体明显增加,仅在11月12日当天,就有20只高等级债券(包括方正、紫光,以及永煤、华晨等高评级大型国企)发生违约,债市出现违约风暴潮,大量企业被迫取消或推迟债券发行。不过,目前债市违约风暴潮的影响可控,债市整体违约率依然处于较低水平。截至2020年11月24日,共有120只、1370亿元规模的债券违约,占信用债余额(38.4万亿元)的比重不到0.5%。
2021年是中国实施“十四五”规划的开局之年,也是构建双循环新发展格局的启动之年,中国金融业将围绕“十四五”规划,不断提高金融服务实体的质量和效率。外部环境仍是中国经济发展面临的最大不确定性,全球疫情存在反复风险,中美关系博弈长期化趋势不会改变,全球政经格局依然复杂多变。
逆周期调控政策力度将有所减弱,但中国疫情防控更加科学有效,经济增长面临的有利因素较多,为助力中国经济长期平稳和可持续增长,货币政策将更加注重稳增长与防风险的平衡,宽松力度将明显弱于2020年,既不会大幅宽松,也难有明显收紧。2020年基数较低,尤其是一季度,工业生产、交通物流、贸易投资、消费旅游等经济活动急剧收缩,这将显著抬高2021年一季度经济增速。
国内疫情对经济的影响或将减轻,经济和社会活动将恢复至正常水平。随着疫情对经济的影响逐步减弱,宏观经济有望实现低基数效应下的高增长,这为银行资产负债表保持扩张创造了有利条件,尤其需要关注新消费、新基建、新制造、数字经济、普惠小微、绿色信贷等结构性增长机遇。基建、房地产投资较快增长带动投资回升,消费对经济增长贡献将明显提高,供给端将进一步加快增长。围绕构建双循环新发展格局,政府还将持续推动扩大内需、支持创新发展、改善营商环境,新投资、新消费、新经济仍将较快增长。继续全面扩大开放,以开放促改革、促发展,发挥自贸区、自贸港引领作用,推动贸易和投资自由化便利化改革创新,持续优化外商投资营商环境。
中国经济恢复快于全球主要经济体,将有利于吸引更多国际资本等要素流入。但在全球“资产荒”背景下,受益于各国经济恢复程度不一、货币政策松紧不一等影响,中国金融市场对外资的吸引力继续增强。此外,2021年需要关注不良资产集中暴露、债市违约风险高发、人民币汇率过快升值、银行业国际化经营面临更多挑战等问题。
展望2021年,经济基本面的持续改善将为A股市场的表现提供有力支撑, A股将继续震荡走强,但也需要关注外部金融市场动荡带来的传染效应。在双循环新发展格局下,资本市场的枢纽功能将得到进一步发挥。十九届五中全会对资本市场在促进科技创新和实体经济高水平循环方面提出更多要求,资本市场改革的“建制度、不干预、零容忍”9字方针将得到进一步落实。随着“注册制”分步全面实施、直接融资比重提高、信息披露制度建设、《新证券法》落地以及减少境外机构与资金相互流通的约束等措施的实施,A股市场将迎来长期利好。
低利率环境下,居民增配权益资产的可能性上升。当前房市持续低迷,理财等主要金融资产的利率已降至历史低位,投资者有通过提升风险偏好提高收益的倾向,会选择增加股票、共同基金、保险等产品的投资。自2020年2月起,新增投资者数量已连续9个月突破百万。其中,11月当月新增投资者数量达152.71万,同比增长84.77%。伴随投资者的持续进场,未来居民的资金有望持续入市,成为股市加速上涨的重要力量。
外资持续流入带来的资金增量效应。2020年11月11日,全球最大指数公司明晟(MSCI)宣布调整MSCI中国指数成分股,新增58只标的,同时删除了23只成分股。据统计,约有1500亿美元资金在追踪该指数。
展望2021年,经济基本面、资金面和信心面仍是决定债市走向最为重要的三大因素。从经济基本面来看,GDP增速有望实现较大反弹,这将推动利率中枢有所上行。
从资金面来看,考虑到防风险的重要性上升,货币政策将由前期的宽松向常态回归,但考虑到实体经济发展依然困难,降低企业融资成本仍是重要方向,进一步大幅收紧的可能性也不大,利率水平也难有明显大幅上扬。从信心面来看,受2020年年底高等级债券违约事件暴发影响,当前市场信心极度脆弱,未来对信用债的投资会更趋谨慎。不过,风险偏好的下降,也使得市场对利率债需求将有所上升。
总的来看,2021 年风险因素对债券市场的影响进一步加大,债券市场将呈现宽幅震荡格局,信用利差分化继续加大。
展望2021年,基建和房地产投资将保持较快增长,推动经济持续恢复。2021年,在基建和房地产投资的带动下,投资增速将继续加快,成为2021年经济增长的重要动力。具体而言,三大投资均将在2020年低基数的基础上实现较快增长。
基础建设方面,交通、能源、水利等重点领域、重大项目基建投资,以及5G、特高压、大数据中心、人工智能、充电桩等新基建投资都将保持较快增长。同时,在经济持续复苏背景下,中央和地方财政收入改善等因素也将对基建投资形成支撑。房地产方面,在“房住不炒”主基调,以及三道红线等分类监管政策下,房地产企业资金链压力加大。但考虑到2021年房地产需求总体稳定以及低基数效应,预计房地产开发投资增速将保持稳定。制造业方面,制造业投资在需求回升、盈利改善带动下,将继续恢复并转负为正。
展望2021年,消费持续恢复叠加基数效应,消费对经济增长的贡献将明显提高。在经济持续恢复向好的情况下,居民收入将较2020年有所提高。同时,在加快构建以国内大循环为主体的双循环新发展格局背景下,更多促消费政策将实施。这些因素都将有利于促进居民消费持续恢复和升级,基于新技术、新产品、新渠道、新客群和新模式,消费将围绕居民衣、食、住、行、康、乐、教等领域保持升级趋势。从基数效应角度来看,2020年消费在三大需求中遭受疫情冲击最大,并且恢复过程最缓慢,因此2021年的三大需求中,消费的基数效应最大,其中一季度最为显著。
展望2021年,中国金融市场发展的外部条件依然不容乐观。全球经济复苏之路漫长而羸弱,主要经济体货币政策维持宽松,负利率政策还将长期持续,全球泛滥的流动性无处安放,资金流入股市等虚拟经济的压力加大,“实体弱、金融强”的局面还将持续。这为经济注下“迷幻剂”的同时,也为下一轮更大的金融风险埋下伏笔。部分国家政府杠杆率节节走高,新兴经济体主权债务风险加大,全球经济依然处于高债务、高杠杆、高泡沫的环境中,金融体系脆弱性明显上升,这可能通过金融传染效应对中国产生影响。特别是新一届美国总统上台之后其政策走向存在诸多不确定性,中美经贸摩擦、地缘政治仍将搅动全球金融市场的敏感神经。
自1998年3月金泰、开元证券投资基金设立以来,经过22年的时间,我国基金业取得了跨越式发展,尤其近几年来基金规模与数量呈直线式上涨。这22年来,作为中国资本市场的重要组成部分,基金业伴随着中国资本市场风雨兼程,见证了中国资本市场发展的重要时刻。同时,公募基金行业也在努力为投资者提供优质的资产管理服务、创造价值。
图20 1998年以来公募基金市场规模及数量情况

图片来源:展恒基金研究中心,Wind
数据截至日期:2020年12月30日
从整体来看,截至2020年12月30日,公募基金市场共有7333只基金(不同份额合并计算,下同),数量突破7000只,与2019年年末相比增加1249只,产品总规模达到18.56万亿元,年内先后突破15万亿、16万亿、17万亿、18万亿元大关,比年初增加了3.90万亿元。
按照7333只基金的投资类型来看,货币市场型基金共334只,总规模最大达到72552.32亿元,债券型基金共2353只,总规模除货币基金外最多,规模合计50104.63亿元。从各类型基金规模的变动情况来看,相比2019年年末,除货币市场型基金外,其他类型基金规模均有所增长,货币市场型基金数量减少40只,总规模减少1555.29亿元,其他类型基金中,混合型基金的数量及规模增长最多,数量增加628只,资产规模增加23430.27亿元;其次为债券型基金,产品数量增加444只,资产规模增加10988.47亿元;股票型基金产品数量增加186只,资产规模增加5226.97亿元。
表1 2020年公募基金各类型产品规模及数量

图片来源:展恒基金研究中心,Wind
数据截至日期:2020年12月30日
在抗击武汉肺炎疫情、宏观经济下行压力加大的背景下,2020年2月14日,中国证监会正式颁布了《再融资新规》,具体包括三项规定及一项监管问答,该项新规降低了上市公司的再融资门槛,增强了投资方、融资方的弹性,有利于提升各方参与再融资的积极性,改善再融资尤其是定增市场环境。
新版的《再融资新规》,不管是从发行门槛、发行定价、发行对象、发行规模还是锁定期等方面来看,政策都进一步放开,把选择权和定价权交给市场,这也是注册制改革的大方向。定增新规会让公募和私募更公平,也让上市公司有更多的选择,不再局限于公募基金的资金,更深层次的,机构投资者能够真正发挥在上市公司规范治理中的作用。
4月17日,公募基金获准参与新三板精选层投资,允许公募基金投资新三板挂牌股票,这有利于壮大新三板专业机构投资者队伍。投资者通过公募基金投资新三板,变相降低了新三板的投资门槛,长期来看有利于新三板流动性提升、增强市场价格发现功能,短期来看,公募基金资金获准入市,对提升新三板投资人信心,起到了正面积极的作用,有利于新三板优质公司的估值修复。
6月3日,华夏、南方、富国、汇添富、招商、万家等基金公司申报的可投新三板公募基金纷纷拿到批文,成为首批参与新三板精选层投资的公募产品。从以上获批产品情况来看,首批新三板基金呈现以下特点:第一,新三板精选层企业将成为产品的重要投资方向,首批新三板基金也主要为偏股混合型基金;第二,新三板基金皆以“定期开放”或“滚动持有”方式运作,做出产品封闭期的设计;第三,新三板基金在产品封闭期投向新三板精选层企业的比例不超过20%,开放期投资比例不高于15%,其他持股仓位仍可以投向科创板、主板、中小板、创业板等其他板块股票。
今年4月,“新基建”成为继“科技”概念之后,基金公司布局的又一热点,继前期密集布局“新基建”主题ETF基金之后,基金公司又瞄准混合型基金、股票型基金等主动产品,投资“新基建”的主流产品类型逐渐齐备。
截至4月10日,当月已经有浦银安盛、中融、银华等7家公募上报了7只“新基建”概念基金,已申报的“新基建”基金总数量达到15只,其中12只为场内指数型基金,2只混合型基金,1只为股票型基金,“新基建”投资方向的产品形式日趋多元化,但指数型基金仍是主要的产品类型。
不同于传统基建的仅仅具有逆周期对冲经济下滑作用,新基建还是未来的发展方向。新基建作为未来中国经济转型升级的基础,具有长期性和持续性,更具有长期投资价值。
自2017年11月10日,财政部宣布,国内基金公司控股权外资持股比例放宽至51%,3年之后投资比例不受限制;2019年7月20日,国务院金融稳定发展委员会办公室宣布进一步扩大金融对外开放的11条措施,其中,基金管理公司放开外资股比限制的时点提前到2020年4月1日。
就在金融行业开放的背景下,外资金融资管机构纷纷提速进军中国市场。4月1日,基金管理公司正式放开外资股比限制,全球资管规模排名第一的贝莱德公司递交公募基金设立申请,并率先拿到首家外资全资公募基金管理公司牌照。除了贝莱德,路博迈、富达两家外资机构也已递交设立公募基金公司申请,公募基金业正式迎来内外资机构同台竞技的新时代。此外,全球资管巨头先锋领航集团,也要把亚太总部迁到上海。
4月30日,中国证监会与国家发展改革委联合发布《关于推进基础设施领域不动产投资信托基金(REITs)试点相关工作的通知》,公募REITs成为行业业务的焦点。8月7日,中国证监会发布《公开募集基础设施证券投资基金指引(试行)》,基础设施公募REITs试点正式落地,意味着公募REITs产品即将问世。9月4日,上交所、深交所双双发布公募REITs业务相关配套文件的公开征求意见稿,规范交易所基础设施基金份额发售、上市、交易、收购、信息披露、退市等行为。
基金公司“摩拳擦掌”备战公募REITs开闸,寻找项目、搭建团队、成立“REITs基金管理部”等工作都在同时推进。公募REITs试点在年末进入答辩阶段,有约20多家基金公司接到通知,参与国家发改委组织的基础设施REITs项目答辩。之后,有部分项目已经由发改委推荐至证监会。
科创板自2019年6月13日正式开板,作为资本市场改革的试验田,科创板开局良好、运行顺利。随着越来越多蕴含科创底色的企业成功上市,作为机构参与者中的重要组成部分,公募基金正在逐步将科创板的投资布局作为充实业务发展的重要一环,积极申报科创板基金。
今年5月13日, 6家基金公司就集体上报了科创板基金,成为行业内首批上报此类基金的基金公司。7月17日,首批6只科创板基金正式获批,分别为博时科创板三年定期开放混合、南方科创板三年定期开放混合、汇添富科创板2年定期开放混合、易方达科创板两年定期开放混合、富国科创板两年定期开放混合、万家科创板2年定期开放混合。
9月10日,跟踪科创板50指数的首批4只科创板50ETF产品获批,华夏基金、华泰柏瑞基金、易方达基金和工银瑞信基金拔得头筹。11月16日,曾经引发千亿资金认购的科创50ETF集体登陆上交所,迎来开盘“首秀”,开盘一分钟,华夏、易方达、华泰柏瑞、工银瑞信基金旗下首批科创50ETF产品总成交额突破5亿元,全天整体成交额高达45.56亿元,四只科创50ETF基金霸屏该类产品成交量排行榜。首批科创50ETF上市,标志着科创板投资进入了指数化布局时代。
诞生于2007年、最高管理规模曾达到5000亿元的分级基金,历经13年的发展历程,将集体告别市场。2018年4月27日,“一行两会一局”联合发布的《关于规范金融机构资产管理业务的指导意见》就要求,“公募产品和开放式私募产品不得进行份额分级”,并要求存量分级基金应当在2020年底前取消分级运作,完成规范和整改。分级基金的最后交易日定为2020年12月31日,摘牌日为2021年1月4日,终止上市日为2021年1月5日。
分级基金在到期折算时将会合并成为新的基金,新基金不带有杠杆属性,同时也不像A份额有固定的收益,合并后新成立基金的风险及收益水平将介于A份额与B份额之间,根据中国证券登记结算有限责任公司的有关业务规则,合并或折算为新基金份额后,基金份额持有期自新基金份额确认之日起计算。因而基金投资者的持有期将会重新计算,如果赎回份额时持有期较短,基金份额持有人将承担较高的赎回费。
按照基金成立日期统计,截至2020年12月30日,今年以来新成立的基金已达到1403只(不同份额合并计算,下同),较去年全年增长35.95%,合计募集规模达到3.13万亿元,突破3万亿元大关,同比增长120.79%,创造公募基金行业新的历史记录,而这一数值也超过2017-2019年基金发行总规模之和。
图21 2001年以来公募基金市场发行情况

图片来源:展恒基金研究中心,Wind
数据截至日期:2020年12月30日
从今年以来各月新发基金的规模和数量来看,7-9月份为新发基金的高峰期,7-9月累计发行规模占到发行总规模的40%,发行数量约占发行总数量的1/3。7月份以来,上证指数重新站上3400点,市场对于“牛市”的呼声越来越高,在之后半年上证指数一直在3300点徘徊,市场结构型行情明显,新发基金市场也受到投资者的追捧。
图22 2020年各月新发基金情况

图片来源:展恒基金研究中心,Wind
数据截至日期:2020年12月30日
Wind数据显示,截至2020年12月30日,年内新成立的股票型基金为224只,发行数量在成立的全部基金中占比15.97%,发行份额为3631.96亿份,占全部基金发行份额11.61%;年内共有667只混合型基金成立,发行数量在成立的全部基金中占比最高,高达47.54%,发行份额达到16395.38亿份,在全部基金发行份额的占比超过1/2,达到52.4%;今年共有473只债券型基金成立,发行数量在成立的全部基金中占比33.71%,发行份额达到11026.95亿份,占全部基金发行份额35.24%,上述三类基金均创历史新高。此外,新成立的另类投资型基金与QDII型基金的发行数量和发行规模占比较低,发行份额占比均未超过1%,而货币市场型基金年内没有新发基金。
图23 2020年各类型新发基金规模及数量

图片来源:展恒基金研究中心,Wind
数据截至日期:2020年12月30日
按投资标的分类,截至12月30日,主动权益类基金、ETF及“固收+”三类产品增势突出。
主动权益类基金成为扩张“主力军”,首发募集规模创历史新高,年内成立的主动权益类基金有562只,发行规模达1.56万亿元,占据年内基金发行的半壁江山。其中有31只基金发行规模超过百亿元,其中5只基金发行规模超过两百亿元,发行规模最高的是南方成长先锋A,发行规模为321.15亿元。
表2 2020年主动权益类基金发行规模TOP10

图片来源:展恒基金研究中心,Wind
数据截至日期:2020年12月30日
ETF也成为公募基金发行“大户”,被动指数型基金发行总规模达1102.33亿元,其中华夏中证新能源汽车ETF发行规模最高为107.63亿元。部分ETF遭投资者抢购,4只科创50ETF发行当日实现一日售罄,吸金逾千亿元,远超200亿元的募集上限,其中华夏科创50ETF单日认购资金超过450亿元,刷新ETF首发史上最高认购规模纪录。
表3 2020年ETF基金发行规模TOP10

图片来源:展恒基金研究中心,Wind
数据截至日期:2020年12月30日
“固收+”产品则是今年基金行业的新晋网红,该类产品以债券打底,以股票等其他资产增强收益,是较佳的理财产品替代品。今年以来,“固收+”产品(偏债混合型基金、二级债基)发行总规模为3710.47亿元,6只基金发行规模超过百亿元,发行规模最高的是汇添富稳健收益A,发行规模为216.34亿元。
表4 2020年“固收+”产品发行规模TOP10

图片来源:展恒基金研究中心,Wind
数据截至日期:2020年12月30日
截至2020年12月30日,今年以来共有128家基金管理人发行了新基金。其中,年内基金发行规模排名前14的公司发行基金均超过600亿元,这14家公司的基金发行总规模达1.51万亿元,超过了全市场基金发行总规模的一半。
易方达基金、汇添富基金年内基金发行总规模均超过2000亿元,上述两家基金公司也是年内贡献百亿元新基金最多的,前者与后者分别贡献了6只与10只百亿元基金。鹏华基金、南方基金、广发基金和嘉实基金的基金发行总规模也在1000亿元以上,上述基金公司品牌号召力颇强,同时拥有强大的渠道,爆款基金层出不穷。
表5 2020年发行规模超千亿元的基金公司

图片来源:展恒基金研究中心,Wind
数据截至日期:2020年12月30日
与此同时,年内发行规模不足百亿元的基金公司共有54家,占所有发行过基金产品管理人的42.19%,其中发行规模最小的是兴华基金,全年仅发行了1只产品,规模为0.12亿元,部分小基金公司甚至出现基金募集失败的情况,本年度共有24只基金募集失败。
公募基金行业竞争日趋激烈,行业马太效应已越来越显著,资金加速向头部公司集中。渠道尤其是银行门槛不断增高,渠道在推荐新基金时更加青睐明星基金经理、优秀的过往业绩、清晰的品牌辨识度,还有部分公募基金大佬离职创业成立的新基金公司也因“流量明星”效应迅速做大了规模和影响力,而这却成为很多中小基金公司翻不过去的一道“高墙”。
2020年公募基金市场延续了2019年的结构性行情,主动权益类基金不断用实力证实“炒股不如买基金”,众多基金赚的盆满钵满,截至12月30日,股票型基金与混合型基金年内平均收益率分别为37.57%、40.88%,同期上证指数、沪深300、深证成指涨幅分别为11.94%、24.83%、36.15%,权益类基金平均业绩表现优于大盘指数。
头部基金获得高额收益的同时,仍有少数产品年内亏损。截至12月30日,仍有317只基金今年以来的收益为负,首尾业绩差距高至214.38个百分点。基金管理能力和资产配置的不同,导致了业绩的悬殊,这些业绩不好的基金的主要类型为QDII型或者投资涉及港股,投资行业为建筑、房地产受疫情影响较为严重的板块。
图24 2020年各类型基金业绩表现

图片来源:展恒基金研究中心,Wind
数据截至日期:2020年12月30日
Wind数据显示,截至2020年12月30日,年内偏股型基金的平均收益率为39.45%,目前共有14只主动权益类基金的年内收益率超过120%,有55只基金业绩实现翻倍。
赵诣管理的农银汇理工业4.0以161.96%的收益率居于混合型基金冠军,也是主动权益类基金的年度冠军,同时由他管理的农银汇理新能源主题、农银汇理研究精选、农银汇理海棠三年定开等3只产品,紧随其后位列第二到第四,收益率分别为160.18%、149.89%、135.89%,基金经理赵诣管理的基金在行业配置上以5G产业链、新能源、高端制造为主。
表6 2020年偏股型基金业绩榜单TOP20

图片来源:展恒基金研究中心,Wind
数据截至日期:2020年12月30日
另外,广发高端制造A、工银瑞信中小盘成长、诺德价值优势、汇丰晋信低碳先锋等多只基金业绩排名居前。从基金的重仓股来看,排名居前的主动权益类基金大部分重仓制造业,投资行业以半导体、锂电池等新能源新材料为主,隆基股份、通威股份、宁德时代为多只基金的重仓股。
制造业主题基金业绩居前收益于今年提出的“十四五”规划,规划中明确提出发展战略性新兴产业,加快壮大新一代信息技术、生物技术、新能源、新材料、高端装备、新能源汽车、绿色环保以及航空航天、海洋装备等产业。
从基金公司方面我们会发现,排名前20的主动权益基金,农银汇理基金旗下有四只基金上榜,甚至霸占榜首四个名额,工银瑞信基金旗下有七只基金上榜,诺德基金与汇丰晋信基金旗下分别有两只,相对比较集中。
2020年,偏债型基金的表现整体低迷,Wind数据显示,截至12月30日,年内偏债型基金的平均收益率为4.39%,同期中证综合债的涨幅为2.95%,近9成的基金收益回报低于10%,仅有易方达安盈回报1只基金的收益率超过50%。
受益于股市的良好表现,偏债型基金业绩排名居前的基本都是股票仓位较多的偏债混合型基金和混合二级债基,且混合二级债基持有的债券以可转债为主,绝大多数基金的可转债占债券投资的比例高于90%,这类产品也就是年内大出风头的“固收+”基金。
表7 2020年偏债型基金业绩榜单TOP20

图片来源:展恒基金研究中心,Wind
数据截至日期:2020年12月30日
其中南方昌元可转债A与民生加银嘉盈的其不同端口基金的合并规模过小,低于5000万元,面临清盘风险。这两只基金疑似遭遇大额赎回,赎回费计入基金资产,推高净值。南方昌元可转债A与民生加银嘉盈均在第三季度出现规模急剧下降,净值被异常抬升的情况,尤其是民生加银嘉盈,第二季度规模为13.58亿元,单一机构持有了89.64%的份额,而第三季度报告中规模不足二十万元。
2020年货币市场型基金平均收益率为2.04%,较2019年的平均收益率2.46%有所下降。在334只货币型基金中,超过一半的基金当前的7日年化收益高于2%,仅有2只收益低于1%,整体业绩表现较为稳定。
表8 2020年货币市场型基金业绩榜单TOP20

图片来源:展恒基金研究中心,Wind
数据截至日期:2020年12月30日
2020年,海外市场受新冠疫情暴发影响,全球经济遭遇自上世纪“大萧条”以来的最大冲击,下半年伴随着部分经济体疫情形势好转、推动复工复产,加上史无前例的纾困政策发挥作用,全球经济开始触底回升,投资于全球市场的QDII型基金也形成了上半年下跌,后半年上涨的总体趋势。
具体来看,165只QDII型基金中,114只基金上涨,51只基金下跌,QDII型基金只数仅占2.25%,但在亏损的基金中QDII型基金占15.63%。涨幅最高的基金是南方香港成长,涨幅96.37%,跌幅最大的基金是国泰大宗商品,跌幅-57.68%,收尾相差154.05%,排名前十的基金投资行业以医疗、消费、信息技术为主,下跌严重的基金主要投资于原油、房地产、大宗商品。
表9 2020年国际(QDII)型基金业绩榜单TOP20

图片来源:展恒基金研究中心,Wind
数据截至日期:2020年12月30日
今年以来,基金市场整体的业绩表现非常亮眼,基金规模不断的扩大,分红也更加可观,分红金额和频率均显著提升。Wind数据显示,截至2020年12月30日,年内共有2491只基金分红4799次(不同份额分开计算),累计分红总额达到1824.47亿元,同比增长41.4%。
从单只基金年内累计分红金额来看,有18只基金年内分红总额超过10亿元,兴全轻资产派现手笔最大,分红总额为32.40亿元,此外,中欧时代先锋A(分红27.15亿元)、中银瑞福浮动净值型C(分红23.99亿元)、兴全趋势投资(分红21.75亿元)、银华交易货币A(分红20.18亿元),这4只基金年内分红总额排名居前,均超过20亿元,有两只为货币型基金,其余为主动权益类基金。
表10 2020年高分红基金榜单TOP10

图片来源:展恒基金研究中心,Wind
数据截至日期:2020年12月30日
从基金的分红频率来看,截至2020年12月30日,年内共有81只基金的分红次数在5次以上,其中宝盈核心优势A/C、国投瑞银中高等级A/C今年以来均分红12次,频率最高,博时裕盈三个月(11次)、嘉实超短债(11次)、华夏回报A/H(10次)分红次数靠前。
表11 2020年高频率分红基金榜单TOP10

图片来源:展恒基金研究中心,Wind
数据截至日期:2020年12月30日
按基金类型来看,偏债型基金的分红占比依然是各类基金中最高的,仍然是派发“红包”的主力军,其分红金额为1049.39亿元,占据了基金分红总额的半壁江山,占比高达57.52%,而主动权益类基金年内累计分红总额为619.65亿元,占比为33.96%,较去年24.40%的占比有大幅提升。
图25 2020年各类型基金分红金额

图片来源:展恒基金研究中心,Wind
数据截至日期:2020年12月30日
2020年,公募基金权益基金投资如火如荼,在日益激烈的行业竞争下,基金经理群体加速“换血”,基金经理变更与往年相比更加频繁,截至2020年12月30日,年内共有140家基金公司发生基金经理变更,具体来看,共有253位基金经理离任,新聘基金经理481位,净增人数228人。
从单家基金公司的基金经理变动情况来看,今年以来共有7家基金公司新聘基金经理人数超过10人,有11家基金公司离任基金经理人数超过5人,从基金经理净增加人数来看,有18家公募基金的经理净增人数达到5位以上,其中广发、博时、富国、华夏和鹏华基金扩大基金经理队伍超9位。
表12 2020年部分基金公司基金经理变动情况

图片来源:展恒基金研究中心,Wind
数据截至日期:2020年12月30日
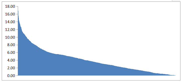
公募基金走过22年,而跟随公募基金共同穿越牛熊市场的资深基金经理却已为数不多。随着原基金经理离任、新基金经理的上任,公募行业基金经理的队伍越发年轻化,目前2371位基金经理的平均任职年限为3.99年。从基金经理任职年限的结构来看,目前2371位基金经理,其中任职时间超10年的基金经理仅有130位,任职不足1年的基金经理共有393人,在整个行业占比为16.58%。在3年以下的基金经理达1059位,占基金经理总数高达44.66%;任职时间在1年到2年的基金经理350位,任职时间在2年到3年的基金经理有316位。
图26 基金经理投资年限分布

图片来源:展恒基金研究中心,Wind
数据截至日期:2020年12月30日
从每家基金公司旗下基金经理的平均投资年限来看,有21家基金公司的经理平均年限大于5年,其中东方阿尔法基金、华宸未来基金和睿远基金任职经理平均年限分别为8.15年、6.92年和6.27年,然而这三家基金公司的基金经理人数均为2-3人。诸如博时、富国、南方、工银瑞信、广发等老牌公募基金公司拥有较多任职时间较长的基金经理,投资年限大于4年的均超过30人。
公募基金市场存在一位基金经理带多只基金和多位基金经理带一只基金的现象,从目前基金经理平均任职的基金个数来看,公募基金经理目前平均管理产品数量为2.68只,嘉实基金刘宁、易方达基金余海燕、华夏基金刘明宇管理的基金数量最多,均为23只。
图8 基金经理任职基金个数

图片来源:展恒基金研究中心,Wind
数据截至日期:2020年12月30日
权益类基金大发展也让基金经理“百亿俱乐部”大幅扩容,截至2020年12月30日,目前管理规模超过100亿的权益基金经理(含指数型基金)达到217位,从主动权益基金来看,有16位基金经理的管理规模超500亿,广发基金刘格菘、易方达基金张坤、南方基金毛炜、汇添富基金胡昕炜、鹏华基金王宗合、景顺长城基金刘彦春、嘉实基金归凯等的管理规模超过了500亿,资金追捧明星基金经理已成趋势,未来绩优基金经理的管理规模或以千亿计。
表13 管理规模超500亿元的基金经理

图片来源:展恒基金研究中心,Wind
数据截至日期:2020年12月30日
截至2020年12月30日,我国公募基金市场中基金管理人共有153家,其中基金公司138家,取得公募基金管理资格的证券公司及证券公司资产管理子公司13家,保险资产管理公司2家。今年以来新增7家基金公司,个人系基金公司成立数量最多,有汇泉基金、尚正基金、易米基金、百嘉基金4家公司,其余3家为东兴基金、瑞达基金、兴华基金,分属于券商系、期货系和其他派系。
表14 公募基金管理人情况

图片来源:展恒基金研究中心,Wind
数据截至日期:2020年12月30日
从个人系公募基金公司获批速度来看,2020年有8家基金公司获批,较去年而言,获批速度有所加快,2019年仅有3家基金公司获批。今年以来,公募基金市场不但对个人系审批速度加快,而且对券商系进入公募基金行业的条件进行放宽,这都将有利于更多的专业人士和资管机构加入到公募基金行业。
从基金公司管理产品的总规模来看,天弘基金搭载余额宝的顺风车,凭借一只基金的规模超越绝大多数的基金公司,总规模连续多年稳居第一,截至2020年12月30日,规模超过1.4万亿元;易方达基金和汇添富基金分别以10487.42亿元、7929.36亿元的规模排名第二、第三。值得注意的是,今年以来,富国基金、鹏华基金、汇添富基金及易方达基金规模发生快速增长,爆款基金频出成为这几家基金公司规模骤增的重要砝码。
表15 基金公司总规模排行榜TOP10(亿元)

图片来源:展恒基金研究中心,Wind
数据截至日期:2020年12月30日
Wind数据显示,截至2020年12月30日,在基金公司非货币型基金规模的排行榜中,排名居前的均为老牌基金公司,易方达基金以6923.20亿元的管理规模位连续两年居于榜首;汇添富基金紧随其后,规模为5456.61亿元;广发基金管理规模为4834.79亿元,排名第三;华夏基金和南方基金也进入前五名,管理规模分别为4574.98亿元、4377.38亿元。
表16 基金公司非货币型基金规模排行榜TOP10(亿元)

图片来源:展恒基金研究中心,Wind
数据截至日期:2020年12月30日
根据基金公司披露的二季报,在64家披露净利润指标的基金公司中,大部分公司在上半年取得正的净利润,天弘基金以13.67亿元的净利润位居上半年基金公司赚钱榜首位,净利润超过10亿元的还有非货币基金规模位居第一的易方达基金,上半年实现净利润10.48亿元。紧随其后的是工银瑞信基金、广发基金和华夏基金,3家公司上半年的净利润均突破7亿元,分别为9.38亿元、9.10亿元和7.48亿元。
表17 基金公司净利润榜单TOP10

图片来源:展恒基金研究中心,Wind
数据截至日期:2020年6月30日
此外,广发基金、富国基金和兴证全球基金以迅猛的发展势头跻身赚钱榜前十,上半年净利润同比增长均超50%。然而,几家欢喜几家愁,在大型基金公司“丰收”、中型公司净利润翻倍的同时,也有一些小公司的收入和净利润不尽如人意,方正富邦基金、南华基金、国融基金、江信基金和中金基金5家基金公司的净利润为负,其中中金公司的净利润为-3505.7万元。
展望未来,我们预估2021年A股市场结构性行情延续,2020年以来大消费等板块表现较佳,但当前市场估值较高,低估值集中在周期性行业,如建筑装饰、房地产、银行等,2021年金融地产板块可能存在一些估值修复的机会,但突出的单边投资机会或不会太大。
具体来看,未来一、二季度,以顺周期行业为主线,重点关注受益于疫情改善及经济修复的品种,包括可选消费(白酒、汽车和餐饮旅游等)、出口制造链(家电家居,机械设备和汽车零部件等)和受益于全球经济复苏的顺周期成长(化工和有色)等细分领域的龙头企业。中长期看好长期景气的优质赛道如消费科技等,重点关注十四五相关的战略新兴产业,包括生物医药、半导体、通信设备、电气设备和航空航天等。
在基金投资方面,首先要选择优秀的基金经理,特别是对于主动型基金,基金经理的主动管理能力直接决定了基金未来业绩的好坏;其次在基金配置上,尽量做到攻守兼备,均衡配置成长、价值等多元化的风格;最后投资者可以定投或分批入场,既可以减轻我们应对市场下跌时的心理负担,同时也有机会补仓、摊平成本和积攒筹码。
